[alogo] Coordinates transformation II

Given two systems of intersecting lines {OX, OY} and {OX', OY'} there are two coordinate systems defined through parallel projections of a point P on these axes:
(i) the (OX,OY) coordinate system, for which P is identified with (x,y).
(ii) the (OX',OY') coordinate system, for which P is identified with (x',y').
By extending PPx, PPy until they intersect {OX',OY'} and drawing parallels from these points to {OY',OX'} intersecting at P', one defines a transformation P'=F(P).
To study the relations between the two coordinate systems, as well as the transformation F.


[0_0] [0_1] [0_2] [0_3]

[1] To find the relations between the two coordinate systems apply the sine theorem to the two triangles with sides {x,x'} and {y,y'} respectively:


[0_0] [0_1]

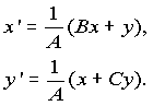
(x'',y'') are here the coordinates of P' in the (OX',OY') system. Solving for (x',y') we get the system of equations:

[0_0]

Here A=sin(OX',OY'), B=sin(OX,OY') and C=sin(OX',OY). The relation between (x'', y'') and (x,y) is given by the equations:

[0_0]

Here D=sin(OX,OY). This by inverting the transformation matrix leads to the expression of (x'',y'') in terms of (x',y'):

[0_0] [0_1]

Remarks
[1] There are two (yellow) lines through O, which are simultaneously harmonic conjugate with respect to the pairs of lines {OX, OY} and {OX', OY'}. These correspond to the eigenvectors of the matrix representing F and are characterized by the fact that line PP' passes through O, i.e. they are invariant with respect to F.
[2] The two coordinate systems are equivalent. For a slightly different aspect, in which one of them, {OX,OY} say, is prefered see CoordinatesTransform.html .
[3] This particular coordinate transformation (x,y) to (x',y') may serve to handle the most general affine coordinate transformation. In fact, given two such coordinate systems with different origins O and O', translating by O'O reduces to two systems as those studied here, having common origin at O.

See Also

CoordinatesTransform.html

Return to Gallery


Produced with EucliDraw©