[alogo] Generation of a hyperbola from a circle

One can generate a hyperbola from a circle through a (projective) transformation of the circle-points as follows.
Consider a point B on a circle c(A,|OB|=r), and the tangent tC at the antipodal point C of B. For every point X take Y on the line BX, such that the cross ratio (B,D,X,Y) = -1, D being the intersection point of BX with tC.
The resulting transform (f) is a harmonic perspectivity, fixing the points of line tC and the point B. Further (f) preserves the tangent tB by reflecting its points on B and sends line OA to infinity.
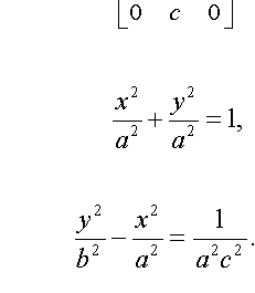
With the figure centered at the origin, as shown, (f) maps the circle (x/r)2+(y/r)2 = 1 onto the rectangular hyperbola (y/r)2 -(x/r)2 = 1.

[0_0] [0_1] [0_2]
[1_0] [1_1] [1_2]
[2_0] [2_1] [2_2]

The brakets in [A] denoting the class of all non-zero multiples of the matrix. The transformation is given, as usual, in the projectification of the real plane:

[0_0] [0_1] [0_2] [0_3]
[1_0] [1_1] [1_2] [1_3]

Map (f) reminds to the stereographic projection (from B onto the line tB), but that is another story, concerning inversions. An analogous transformation, producing a parabola, is discussed in ParabolaProjectFromCircle.html . The more general transformations [V], defined above, although not involutive as f (f2=1), produce arbitrary hyperbolas (centered at the origin) from the same circle. Taking all the isometries of the circle onto itself and conjugating with V we can see that the group of all affinities leaving invariant an hyperbola (or a parabola, using the above reference) is isomorphic to the group of all symmetries of the circle.
An other projectivity, mapping the same circle to the same hyperbola with a different recipe is examined in HyperbolaGeneration2.html .

See Also

HyperbolaFromEllipse.html
HyperbolaGeneration2.html
ParabolaProjectFromCircle.html
Projectivity.html

Return to Gallery


Produced with EucliDraw©