[alogo] 1. Homographic Relation

Given three points x1, x2, x3 on a line L, through their line-coordinate and three corresponding points y1, y2, y3 on the same line, there is a unique homography, which maps the {xi} correspondingly onto {yi}. This is defined ( HomographicRelation.html ) by equation:
                               (x1,x2,x3,x) = (y1,y2,y3,y),
i.e. preservation of the cross ratio of the four points, which means explicitly:

[0_0] [0_1] [0_2] [0_3]

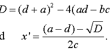
The fixed points of the homography (the coordinates) satisfy the equation:

[0_0] [0_1] [0_2] [0_3]

[alogo] 2. Line Conic intersection

The previous calculations and the Chasles-Steiner (see Chasles_Steiner.html ) generation of conics allow the determination of the intersection points of a conic passing through 5 points (only the 5 points are known) and a line L.

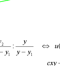
[0_0] [0_1] [0_2] [0_3]

Single out two of the 5 points A, B and join them with the other three  {C,D,E}.
By the aforementioned theorem the intersection points of the pencil {AC,AD,AE} and the pencil {BC,BD,BE} with the line L define three points {x1,x2,x3} and the images {y1,y2,y3} on the line L, which are corresponding points of a homography on the line.
The intersection points M, N of the line L with the conic are the fixed points of this homography on L.

[alogo] 3. Line Conic intersection, line through C

A particular case results when the line goes through one of the other points, say point C. In this case the calculations are simplified, and there is only one other point on the line to locate. Taking the origin of coordinates for L at C (x=0) the equation for the other fixed point becomes a linear one:

[0_0] [0_1] [0_2] [0_3] [0_4]
[1_0] [1_1] [1_2] [1_3] [1_4]
[2_0] [2_1] [2_2] [2_3] [2_4]

Carying out the operations in terms of {x1, x2, y1, y2} we obtain directly the value of x:


[0_0]

See Also

HomographicRelation.html
Chasles_Steiner.html

Produced with EucliDraw©