[alogo] 1. Triangle Construction-I

The problem is to construct triangle ABC, knowing the lengths.
i) of side a=|BC|, ii) of altitude ha = |AD|, iii) and of bisector ba=|AE|.

[0_0] [0_1]

The clue is to consider the symmetric B' of B on the parallel to side BC. Triangle B'BC is constructible from the data. The same is true for triangle ADE. Hence angle(DAE) = B-C (see Bisector.html ) is constructible from the data.
Besides, for F on the extension of AC: angle(FAB') = angle(BFA)-angle(FB'A) = (pi/2-C)-(pi/2-B) = B-C.
Thus A is intersection point of the medial line of BB' and the arc on B'C viewing it under the angle w=pi-(B-C).

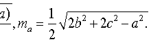
[alogo] 2. Triangle Construction-II

To construct triangle ABC, knowing the lengths.
i) of side a=|BC|, ii) of median ma = |AD|, iii) and of bisector ba=|AE|.

[0_0]

Use the formulas expressing the lengths as functions of the sides (see Stewart.html ).

[0_0] [0_1]

To solve the system for b, c, set b+c=x and bc=y2. Then solve the first w.r. to y and replace to the second. This leads to the biquadratic equation, whose solutions can be constructed with straightedge and compasses:

[0_0]

Solution proposed by Fursenko in his remarkable exposition of triangle constructions, p. 23.

[alogo] 3. Triangle Construction-III

To construct triangle ABC, knowing the measures.
i) of angle A, ii) of median ma = |AD|, iii) and of bisector ba=|AE|.

[0_0] [0_1]

Solution after G. Velissarios (AMM 1988, p. 458). Assume the triangle constructed and take points.
B' : symmetric ot B with respect to A, M middle of BC, D : trace on BC of bisector of A.
E : trace on CB' of external bisector of A.
By the basic bisector relation ( Bisector0.html ).
DB/DC = AB/AC = AB'/AC = EB'/EC, hence DE is parallel to BB'.
It follows that the right-angled triangle DAE is constructible since |AD|=ba and its angle at D is A/2. Thus it suffices to construct triangle CAB', for which are known.
i) the angle at A, ii) the bisector |AE| and iii) the side |CB'| = 2ma.
This kind of construction is discussed in PappusTriangleConstruction.html .

See Also

Bisector.html
Bisector0.html
Bisector1.html
BisectorRectangle.html
Euler.html
PappusTriangleConstruction.html
TriaConstructionAarb.html
TriangleBisectors.html

References

E3134 problem, American Mathematical Monthly 1988, p. 458
Fursenko F. B. Lexicographical account of constructional problems of triangle geometry problems Mathematics in school, 1937, no. 5 p. 23, Moscow

Return to Gallery


Produced with EucliDraw©